Free Access

Fig. 5

thumbnail

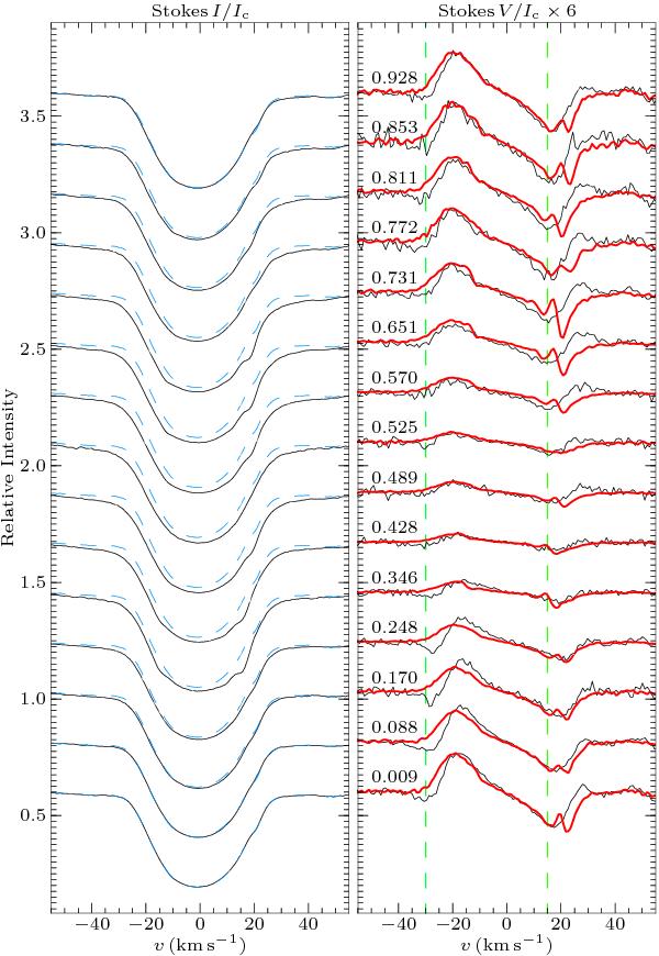
Stokes I (left panel) and V (right panel) spectra of the Hα core in HD 24712. Individual intensity spectra (solid lines) shown in the left panel are compared with the spectrum corresponding to phase 0.009 (dashed line). The right panel compares the observed Stokes V signal (thin line) with the weak field model fit (thick line). The spectral detail affecting the intensity profiles at v ≈ 20 km s-1 is due to a telluric line. Vertical dashed lines on the right panel show the velocity range used for the longitudinal magnetic field measurements.

Current usage metrics show cumulative count of Article Views (full-text article views including HTML views, PDF and ePub downloads, according to the available data) and Abstracts Views on Vision4Press platform.

Data correspond to usage on the plateform after 2015. The current usage metrics is available 48-96 hours after online publication and is updated daily on week days.

Initial download of the metrics may take a while.