Free Access

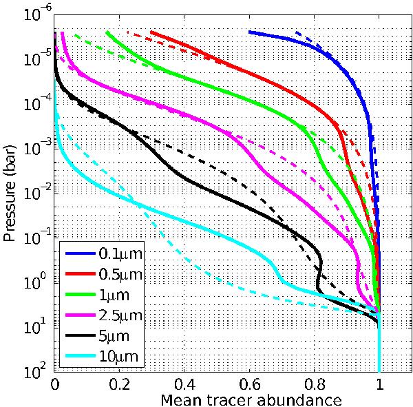
Fig. 4

thumbnail

Planet-wide, time averaged tracer abundances on isobars. The abundances are normalized to the abundance in the deepest layer. We compare the value of the 3D model (solid lines) and the fit using the 1D model (dashed lines).

Current usage metrics show cumulative count of Article Views (full-text article views including HTML views, PDF and ePub downloads, according to the available data) and Abstracts Views on Vision4Press platform.

Data correspond to usage on the plateform after 2015. The current usage metrics is available 48-96 hours after online publication and is updated daily on week days.

Initial download of the metrics may take a while.