Free Access

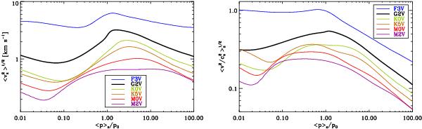
Fig. 6

thumbnail

Flow velocity rms. Left: rms of the vertical component of the flow velocity on surfaces of constant geometrical depth. Right: rms of the modulus of the flow velocity in units of the local sound speed, cs, (Mach number) on surfaces of constant geometrical depth.

This figure is made of several images, please see below:

Current usage metrics show cumulative count of Article Views (full-text article views including HTML views, PDF and ePub downloads, according to the available data) and Abstracts Views on Vision4Press platform.

Data correspond to usage on the plateform after 2015. The current usage metrics is available 48-96 hours after online publication and is updated daily on week days.

Initial download of the metrics may take a while.