Free Access

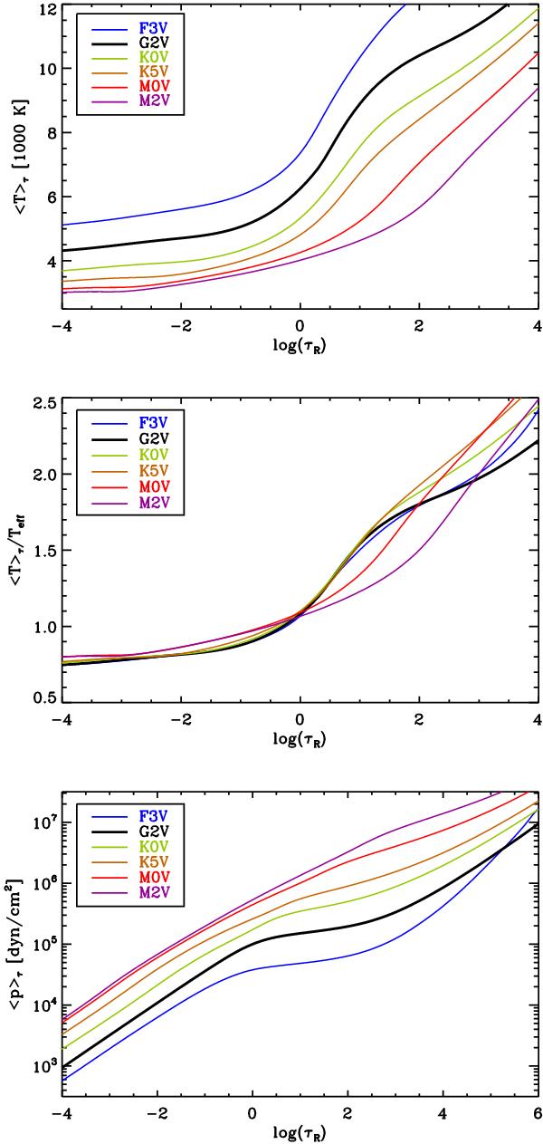
Fig. 8

thumbnail

Temperature and pressure stratifications on surfaces of constant optical depth. Top panel: temperature averaged over surfaces of constant optical depth. Middle panel: same as top panel, but normalised by the effective temperature of the respective model. Bottom panel: pressure averaged on surfaces of constant optical depth.

This figure is made of several images, please see below:

Current usage metrics show cumulative count of Article Views (full-text article views including HTML views, PDF and ePub downloads, according to the available data) and Abstracts Views on Vision4Press platform.

Data correspond to usage on the plateform after 2015. The current usage metrics is available 48-96 hours after online publication and is updated daily on week days.

Initial download of the metrics may take a while.