Free Access

Fig. 14

thumbnail

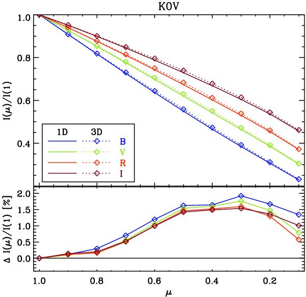
Limb darkening. Comparison of the limb darkening between the K0V MURaM simulation (diamonds and dashed curves) and a 1D ATLAS model (solid curves) with similar parameters (Teff = 4750 K, log g [cgs] = 4.5, υturb = 1 km s-1, solar metallicity) by Claret (2000). The four passband filters are the Johnson B,V,R, and I passbands (Johnson & Morgan 1951; Bessell 1990). The lower subplot shows the relative differences betwen 1D and 3D results.

This figure is made of several images, please see below:

Current usage metrics show cumulative count of Article Views (full-text article views including HTML views, PDF and ePub downloads, according to the available data) and Abstracts Views on Vision4Press platform.

Data correspond to usage on the plateform after 2015. The current usage metrics is available 48-96 hours after online publication and is updated daily on week days.

Initial download of the metrics may take a while.