Free Access

Fig. 21

thumbnail

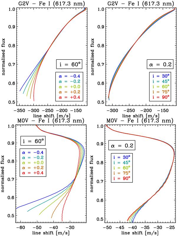
Bisector variation with inclination i and differential rotation parameter α of the Fe i line at 617.3 nm for the G2V and M0V simulations. For the variation of α (left panels) the inclination was fixed at i = 60°; for the variation of i (right panels) the differential rotation parameter was fixed at α = +0.2. For all calculations υsini = 5 km s-1 was used.

This figure is made of several images, please see below:

Current usage metrics show cumulative count of Article Views (full-text article views including HTML views, PDF and ePub downloads, according to the available data) and Abstracts Views on Vision4Press platform.

Data correspond to usage on the plateform after 2015. The current usage metrics is available 48-96 hours after online publication and is updated daily on week days.

Initial download of the metrics may take a while.