Free Access

Fig. 3

thumbnail

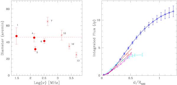
Left: aperture diameter used to measure the radio halo flux as a function of the observing frequency; asteriscs mark single-dish observations. The dashed line marks the representative aperture radius, RH = 0.48   R500, used in our first approach to estimate the SZ-decrement. (Right) Full azimuthal flux profile derived from the Brown & Rudnick (2011) WSRT data (solid, blue) without the quadrant in the west, which is significantly contaminated by the tailed radio source NGC 4869. Errors are dominated by statistical noise at small radii and by the uncertainty in the “zero level” at large radii. The red square marks the total flux and size of the halo from Venturi et al. (1990), while the solid red lines show the integrated flux profile obtained by Govoni et al. (2001) rederived from these same data. The cyan profile is derived from Deiss et al. (1997) at 1.4 GHz and the magenta profile from Pizzo (2010) at 139 MHz. Fluxes at 139 MHz and 1400 MHz are scaled at 330 MHz using a spectrum α = 1.22.

Current usage metrics show cumulative count of Article Views (full-text article views including HTML views, PDF and ePub downloads, according to the available data) and Abstracts Views on Vision4Press platform.

Data correspond to usage on the plateform after 2015. The current usage metrics is available 48-96 hours after online publication and is updated daily on week days.

Initial download of the metrics may take a while.