Free Access

Fig. 12

thumbnail

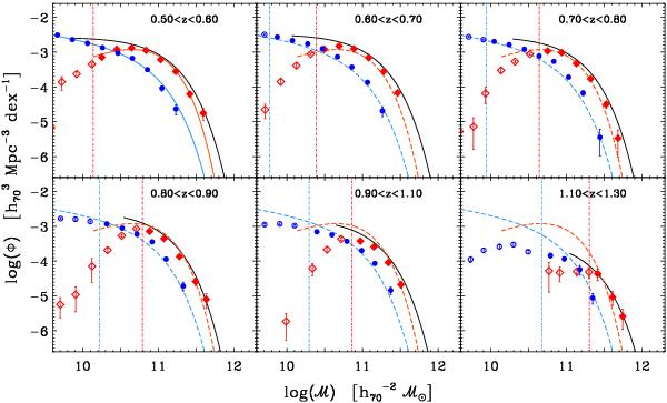
Galaxy stellar mass functions of the blue and red populations in VIPERS, derived using the 1/Vmax. Symbols (circles and diamonds, respectively) are filled for data above the corresponding completeness limit ℳlim (vertical lines) and empty below. Error bars account for Poisson noise alone. The Schechter fit of the two populations in the bin 0.5 < z < 0.6 (solid blue and red lines) is reported for reference as a dashed line in the other panels. The solid black line in each panel gives the Schechter best fit to the whole VIPERS sample in that redshift bin.

Current usage metrics show cumulative count of Article Views (full-text article views including HTML views, PDF and ePub downloads, according to the available data) and Abstracts Views on Vision4Press platform.

Data correspond to usage on the plateform after 2015. The current usage metrics is available 48-96 hours after online publication and is updated daily on week days.

Initial download of the metrics may take a while.