Free Access

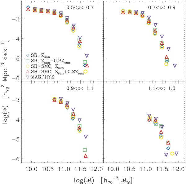
Fig. 8

thumbnail

Dependence of the mass function on the details of the stellar mass estimates, considering five different cases. Specifically, the points correspond to different choices of the stellar population synthesis code, metallicity (Z), extinction law (SB+SMC or SB alone), or the addition of secondary bursts to the smooth star-formation histories. Four cases correspond to SED fitting using Hyperzmass, for which the values of the adopted parameters are given in the bottom-left of the first panel. For details about the parameters adopted for MAGPHYS (downward triangle), we refer to Sect. 2.3.

Current usage metrics show cumulative count of Article Views (full-text article views including HTML views, PDF and ePub downloads, according to the available data) and Abstracts Views on Vision4Press platform.

Data correspond to usage on the plateform after 2015. The current usage metrics is available 48-96 hours after online publication and is updated daily on week days.

Initial download of the metrics may take a while.