Free Access

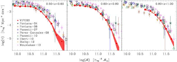
Fig. 9

thumbnail

VIPERS galaxy stellar mass functions from z = 0.5 to 1 (filled red circles, with a red shaded area accounting for the Poisson uncertainty). The 1/Vmax determinations of previous surveys are also shown by different symbols, along with their respective Poisson error bars. In the left-hand panel, whereas the VIPERS range is 0.5 < z < 0.6, the other GSMFs are computed between z = 0.4 and 0.6, with the exception of Moustakas et al. (2013) for which is 0.5 < z < 0.65, 0.65 < z < 0.8, 0.8 < z < 1.0; notice the very small error bars of the VIPERS data, despite the narrower redshift range. In the other two panels, the bins of VIPERS are the same as the other surveys; also at these higher redshifts the error bars of the VIPERS GSMF are small compared to them.

Current usage metrics show cumulative count of Article Views (full-text article views including HTML views, PDF and ePub downloads, according to the available data) and Abstracts Views on Vision4Press platform.

Data correspond to usage on the plateform after 2015. The current usage metrics is available 48-96 hours after online publication and is updated daily on week days.

Initial download of the metrics may take a while.