Free Access

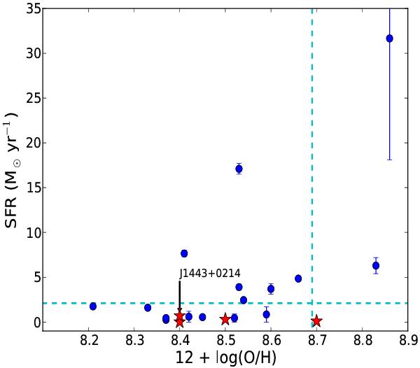
Fig. 6

thumbnail

Star formation rate versus metallicity for galaxies with 21-cm absorption (zgal< 0.4; stars) and [O iii]-emitting galaxies (0.4 <zgal< 0.8; circles) from Noterdaeme et al. (2010b). The horizontal dashed line marks the median SFR for [O iii]-emitting galaxies. The vertical dashed line corresponds to solar abundance, 12 +log  (O/H) = 8.69 (Asplund et al. 2009).

Current usage metrics show cumulative count of Article Views (full-text article views including HTML views, PDF and ePub downloads, according to the available data) and Abstracts Views on Vision4Press platform.

Data correspond to usage on the plateform after 2015. The current usage metrics is available 48-96 hours after online publication and is updated daily on week days.

Initial download of the metrics may take a while.