Free Access

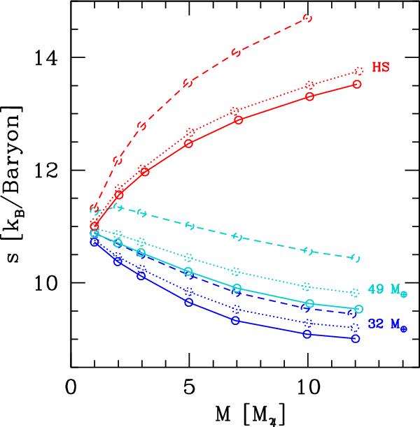
Fig. B.1

thumbnail

Post-formation entropy as function of total mass. The dark (light) blue lines are for cold accretion and a core mass of 32 (49) M. The red curves are for hot accretion. The solid lines are the nominal model and identical to Fig. 2. The dotted curves are simulations without the photospheric pressure. The dashed lines are for a full ISM grain opacity.

Current usage metrics show cumulative count of Article Views (full-text article views including HTML views, PDF and ePub downloads, according to the available data) and Abstracts Views on Vision4Press platform.

Data correspond to usage on the plateform after 2015. The current usage metrics is available 48-96 hours after online publication and is updated daily on week days.

Initial download of the metrics may take a while.