Free Access

Fig. 17

thumbnail

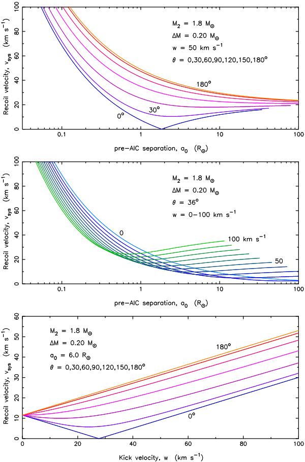
Systemic recoil velocities of MSPs formed indirectly via AIC. The two upper panels show sample calculations of the recoil velocities, vsys obtained for a fixed kick of w = 50km s-1 and kick angles θ = 0 − 180° (upper panel), or a fixed value of θ = 36° and kicks w = 0 − 100km s-1 (central panel), in both cases as a function of the pre-AIC orbital separation, a0. The lower panel shows vsys as a function of kick velocities, w for fixed values of a0 and variable values of θ = 0 − 180°. In all cases we assumed a companion star mass of at the moment of the AIC. AIC events are generally believed to have w ≃ 0 (i.e. without a kick). See text for discussions.

Current usage metrics show cumulative count of Article Views (full-text article views including HTML views, PDF and ePub downloads, according to the available data) and Abstracts Views on Vision4Press platform.

Data correspond to usage on the plateform after 2015. The current usage metrics is available 48-96 hours after online publication and is updated daily on week days.

Initial download of the metrics may take a while.