Free Access

Fig. 1

thumbnail

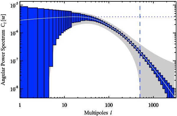
Angular power spectrum of the full eRASS AGN sample (soft band, four years) for the extragalactic sky (fsky ≈ 0.83) and 0 < z < 5. The grayshaded area and the blue histogram show the 1σ uncertainty region (Eq. (4)) without and with -binning, respectively. The horizontal dotted line shows the level of shot noise, which was already subtracted from the angular power spectrum. For multipoles above the vertical dashed line (representing lmax ≈ 500) our assumption of a linear clustering starts to break down. Therefore, we did not consider these multipoles in our subsequent calculations.

Current usage metrics show cumulative count of Article Views (full-text article views including HTML views, PDF and ePub downloads, according to the available data) and Abstracts Views on Vision4Press platform.

Data correspond to usage on the plateform after 2015. The current usage metrics is available 48-96 hours after online publication and is updated daily on week days.

Initial download of the metrics may take a while.