Free Access

Fig. 3

thumbnail

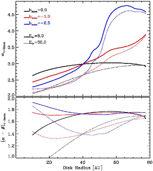
Radial profiles of the spectral index α between 1 and 3 mm. Different curves represent different values of the parameter bmax as labeled but have the same amax,0 = 1 mm at 40 AU. The surface density profile is defined by γ = 0.5, Rtr = 20 AU, Σtr = 8 g/cm2 (solid lines), and Σtr = 30 g/cm2 (dotted lines).

Current usage metrics show cumulative count of Article Views (full-text article views including HTML views, PDF and ePub downloads, according to the available data) and Abstracts Views on Vision4Press platform.

Data correspond to usage on the plateform after 2015. The current usage metrics is available 48-96 hours after online publication and is updated daily on week days.

Initial download of the metrics may take a while.