Press Release
Free Access

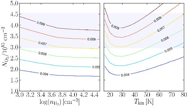
Fig. 10

thumbnail

Integrated intensities of O2 are shown as contours for a range of model column densities as function of density (left) and temperature (right) for the 8.0 km s-1 component. The yellow solid line is the observed integrated intensity of the tentative detection and the shaded region represents the range of column densities for their corresponding temperatures. Left: Tkin = 30 K is assumed for different densities and right: n = 5 × 103 cm-3 is assumed for different temperatures.

Current usage metrics show cumulative count of Article Views (full-text article views including HTML views, PDF and ePub downloads, according to the available data) and Abstracts Views on Vision4Press platform.

Data correspond to usage on the plateform after 2015. The current usage metrics is available 48-96 hours after online publication and is updated daily on week days.

Initial download of the metrics may take a while.