Press Release
Free Access

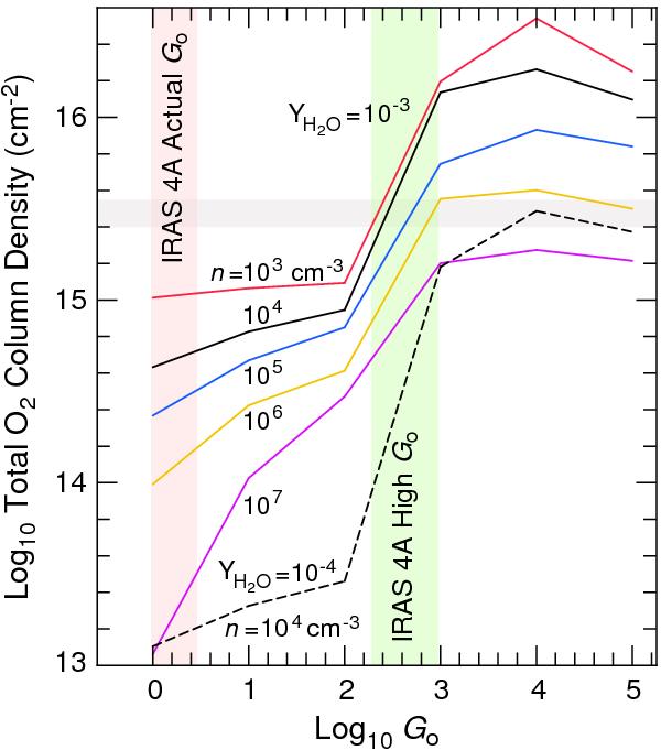
Fig. 11

thumbnail

Total O2 column density as a function of Go and density (adapted from Melnick et al. 2012; Hollenbach et al. 2009) for the 8.0 km s-1 component. The horizontal grey band shows the total O2 column density range for the observed integrated intensity in the 8 km s-1 component. The vertical green band presents the range of high-G0 values required to produce this range of O2 column densities for gas densities between 103 cm-3 and 107 cm-3, whereas the orange band presents the actual G0. YH2O is the water ice photodesorption yield.

Current usage metrics show cumulative count of Article Views (full-text article views including HTML views, PDF and ePub downloads, according to the available data) and Abstracts Views on Vision4Press platform.

Data correspond to usage on the plateform after 2015. The current usage metrics is available 48-96 hours after online publication and is updated daily on week days.

Initial download of the metrics may take a while.