Free Access

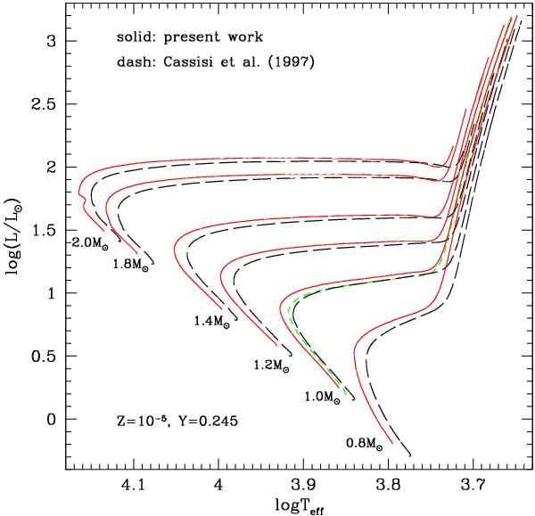
Fig. 9

thumbnail

HR diagram of selected H-burning models compared to Cassisi et al. (1997) results. The short dashed line corresponds to a 1 M model computed with our updated physical inputs but with the same initial He content adopted by Cassisi et al. (1997).

Current usage metrics show cumulative count of Article Views (full-text article views including HTML views, PDF and ePub downloads, according to the available data) and Abstracts Views on Vision4Press platform.

Data correspond to usage on the plateform after 2015. The current usage metrics is available 48-96 hours after online publication and is updated daily on week days.

Initial download of the metrics may take a while.