Free Access

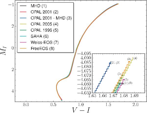
Fig. 18

thumbnail

Color–magnitude diagrams for different EOS based on GARSTEC. Inset: numbers mark the TRGB for the respective EOS cases. The steps in the inset are due to limited number of digits in model output.

Current usage metrics show cumulative count of Article Views (full-text article views including HTML views, PDF and ePub downloads, according to the available data) and Abstracts Views on Vision4Press platform.

Data correspond to usage on the plateform after 2015. The current usage metrics is available 48-96 hours after online publication and is updated daily on week days.

Initial download of the metrics may take a while.