Free Access

Fig. 2

thumbnail

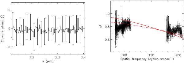
Time-averaged closure phase and squared visibility observations of HD 85567. The panel on the left presents the closure phases. The closure phase error bars shown represent the mean error in the measurements. A frame selection of 80 per cent was used. In the panel on the right, we present the squared visibilities. A frame selection of 20 per cent was used. The errors represent the mean error in the calibrated visibilities. The solid line is the visibility profile of a ring with a radius of 0.69 mas, 1.0 AU at 1.5 kpc. The long-dashed line corresponds to a ring with a radius of 0.56 mas (0.8 AU) with the addition of a background that accounts for 5 percent of the total flux.

Current usage metrics show cumulative count of Article Views (full-text article views including HTML views, PDF and ePub downloads, according to the available data) and Abstracts Views on Vision4Press platform.

Data correspond to usage on the plateform after 2015. The current usage metrics is available 48-96 hours after online publication and is updated daily on week days.

Initial download of the metrics may take a while.