Free Access

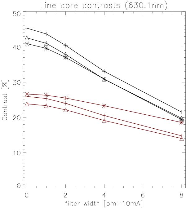
Fig. 15

thumbnail

Influence of a (hypothetical observational) filter width (Gaussian) on the intensity contrasts at the nominal line core wavelength. The contrasts are given for two positions on the solar disc, μ = 0.32 (red) and μ = 1.00 (black), as well as our three calculation methods (asterisks: LTE; plus signs: 1D NLTE; triangles: 3D NLTE).

Current usage metrics show cumulative count of Article Views (full-text article views including HTML views, PDF and ePub downloads, according to the available data) and Abstracts Views on Vision4Press platform.

Data correspond to usage on the plateform after 2015. The current usage metrics is available 48-96 hours after online publication and is updated daily on week days.

Initial download of the metrics may take a while.