Free Access

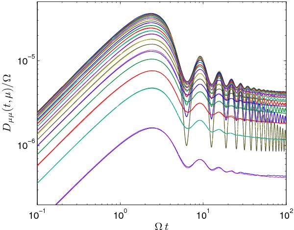
Fig. 5

thumbnail

Running pitch-angle Fokker-Planck coefficient, Dμμ(t), for various values of the initial pitch-angle cosine, μ0, which is represented by the different colors. For the numerical evaluation, Eq. (3)has been used, together with the procedure described thereafter. Other parameters are identical to those in Fig. 1. (This figure is available in color in electronic form)

Current usage metrics show cumulative count of Article Views (full-text article views including HTML views, PDF and ePub downloads, according to the available data) and Abstracts Views on Vision4Press platform.

Data correspond to usage on the plateform after 2015. The current usage metrics is available 48-96 hours after online publication and is updated daily on week days.

Initial download of the metrics may take a while.