Free Access

Fig. 8

thumbnail

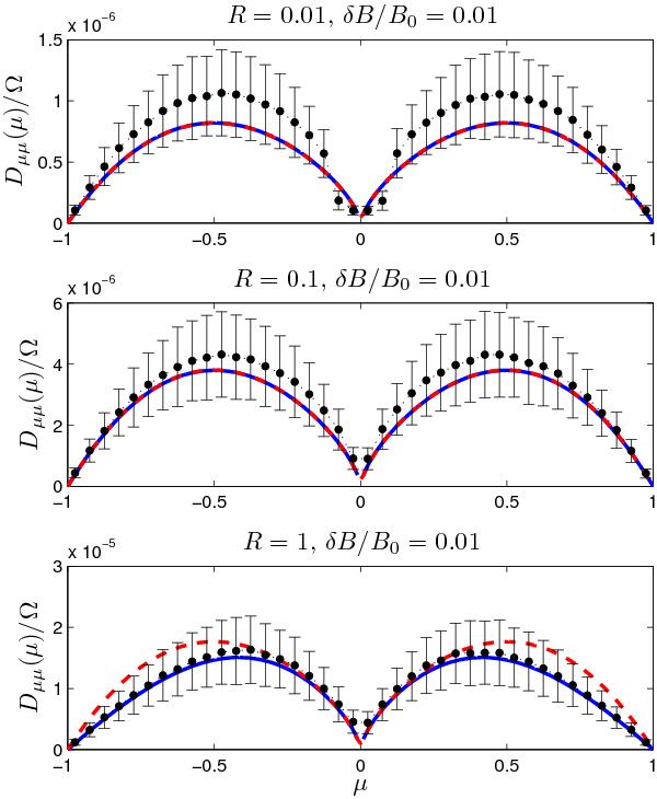
Numerically calculated pitch-angle Fokker-Planck coefficient, Dμμ, as a function of the pitch-angle cosine, μ, for three different values for the normalized rigidity, R. For comparison, the analytical results from QLT and SOQLT are shown as solid blue and dashed red lines, respectively. The relative turbulence strength is chosen as δB/B0 = 10-2. (This figure is available in color in electronic form)

Current usage metrics show cumulative count of Article Views (full-text article views including HTML views, PDF and ePub downloads, according to the available data) and Abstracts Views on Vision4Press platform.

Data correspond to usage on the plateform after 2015. The current usage metrics is available 48-96 hours after online publication and is updated daily on week days.

Initial download of the metrics may take a while.