Free Access

Fig. 3

thumbnail

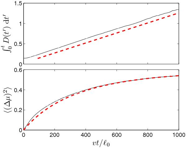
Upper panel: integral of the isotropic scattering coefficient, D, as obtained from a numerical simulation (black solid line) for particles with a normalized rigidity R = γv/(Ω0) = 0.1. A linear fit (red dashed line) yields the value for D = 1.2324 × 10-3   Ω itself; for clarity, the fit line has been shifted downward. Lower panel: pitch-angle mean square displacement as obtained from the simulation (black solid line) in comparison with the analytical form (red dashed line) from Eq. (18), which uses the value for D that was obtained above. (This figure is available in color in electronic form.)

Current usage metrics show cumulative count of Article Views (full-text article views including HTML views, PDF and ePub downloads, according to the available data) and Abstracts Views on Vision4Press platform.

Data correspond to usage on the plateform after 2015. The current usage metrics is available 48-96 hours after online publication and is updated daily on week days.

Initial download of the metrics may take a while.