Free Access

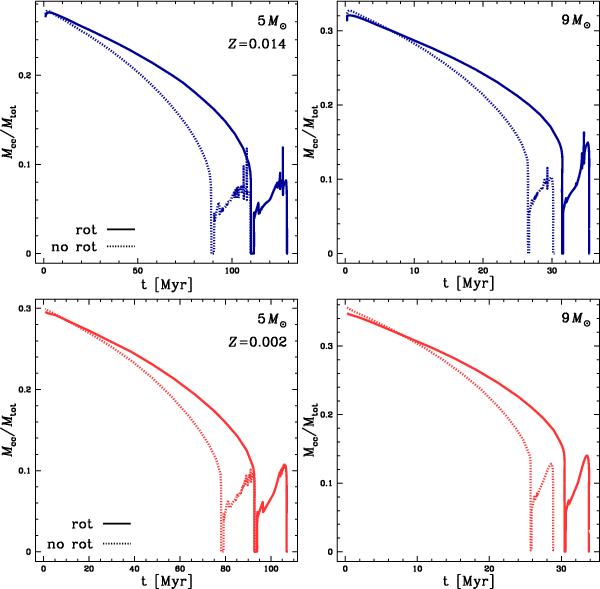
Fig. 6

thumbnail

Comparisons of the evolution of the mass of the convective core during the H- and He-burning phases inside the 5   M (left panels) and 9   M models (right panels). The solid (dotted) lines are for rotating (non-rotating) models, respectively. The upper panels show the Z = 0.014 models, the lower ones the Z = 0.002 models.

Current usage metrics show cumulative count of Article Views (full-text article views including HTML views, PDF and ePub downloads, according to the available data) and Abstracts Views on Vision4Press platform.

Data correspond to usage on the plateform after 2015. The current usage metrics is available 48-96 hours after online publication and is updated daily on week days.

Initial download of the metrics may take a while.