Free Access

Fig. 12

thumbnail

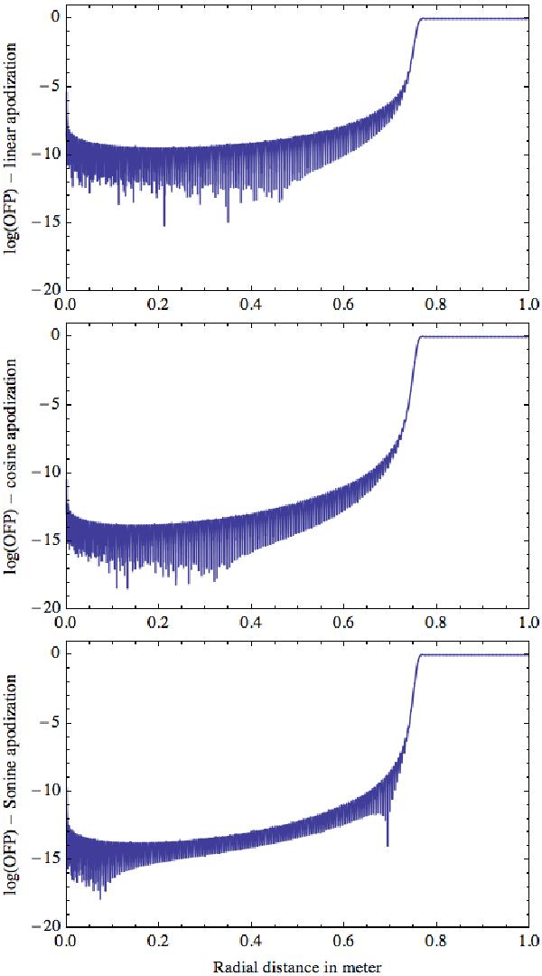
Cuts of OFPs in logarithmic scale for the 1.50 m external occulter enlarged to 1.53 m with an apodization zone. From top to bottom, the transmission at the edge τ(r) is linear, a cosine bell, and a Sonine with ν = 2, as given in Eq. (19) and shown in Fig. 11.

Current usage metrics show cumulative count of Article Views (full-text article views including HTML views, PDF and ePub downloads, according to the available data) and Abstracts Views on Vision4Press platform.

Data correspond to usage on the plateform after 2015. The current usage metrics is available 48-96 hours after online publication and is updated daily on week days.

Initial download of the metrics may take a while.