Free Access

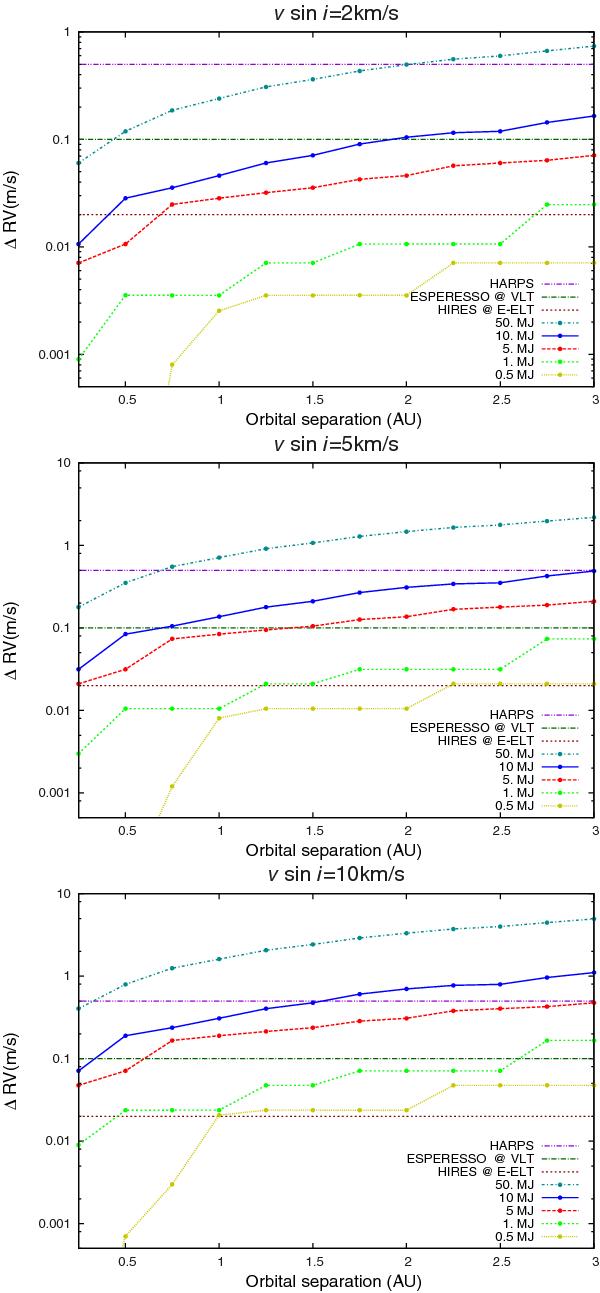
Fig. 3

thumbnail

Maximum contribution of microlensing to the measurements of the RM effect for different combination of planet mass and the position of the projection of the planet on the disk of the star. From top to bottom, the stellar rotational velocity is equal to 2, 5, and 10 km s-1, respectively. The detection limit of HARPS, ESPRESSO at VLT and HIRES at E-ELT are also shown for comparison.

This figure is made of several images, please see below:

Current usage metrics show cumulative count of Article Views (full-text article views including HTML views, PDF and ePub downloads, according to the available data) and Abstracts Views on Vision4Press platform.

Data correspond to usage on the plateform after 2015. The current usage metrics is available 48-96 hours after online publication and is updated daily on week days.

Initial download of the metrics may take a while.