Free Access

Fig. 12

thumbnail

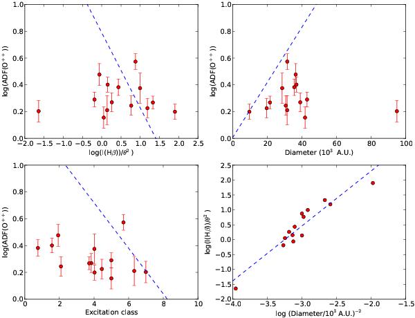
ADF(O++) plotted against mean nebular surface brightness (upper left panel); absolute nebular diameters (upper right panel) and excitation class as defined by Dopita & Meatheringham (1990) (lower left panel). The dashed lines represent the fits obtained by Liu et al. (2004) for a sample of 19 PNe. In the lower right panel we show the relation between the nebular surface brightness and the nebular diameter, which are clearly correlated; the line is a fit to the data.

Current usage metrics show cumulative count of Article Views (full-text article views including HTML views, PDF and ePub downloads, according to the available data) and Abstracts Views on Vision4Press platform.

Data correspond to usage on the plateform after 2015. The current usage metrics is available 48-96 hours after online publication and is updated daily on week days.

Initial download of the metrics may take a while.