Free Access

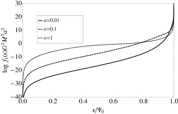
Fig. 1

thumbnail

Energy part of the distribution function for a Plummer stellar sphere of scale a embedded in a Hernquist dark-matter halo of mass M and scale b, with constant velocity anisotropy β =  −1/2, as given by Eq. (7). The various lines correspond to different degrees of embedding α = a/b of the stars in the (same) dark-matter halo, α = 0.01 (solid), 0.1 (dashed) and 1 (dotted).

Current usage metrics show cumulative count of Article Views (full-text article views including HTML views, PDF and ePub downloads, according to the available data) and Abstracts Views on Vision4Press platform.

Data correspond to usage on the plateform after 2015. The current usage metrics is available 48-96 hours after online publication and is updated daily on week days.

Initial download of the metrics may take a while.