Free Access

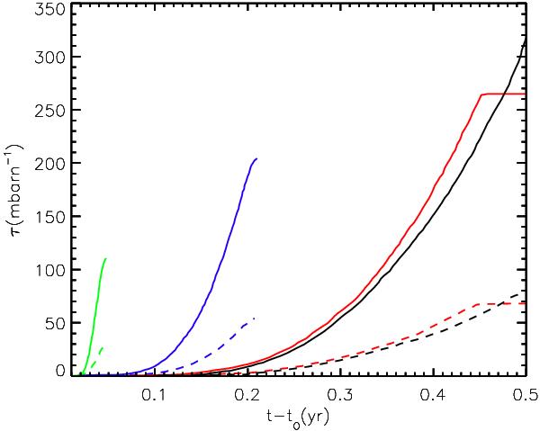
Fig. 6

thumbnail

Time evolution of neutron exposure. Solid lines represent the neutron exposure at the position of maximum neutron density (i.e., near the bottom of the HeCZ) and dashed lines represent the average neutron exposure in the convective zone. Red line: standard Z = 10-8 model (M2); black line: reduced convection efficiency (M3); blue line: model including overshooting (f = 0.016 – M4); and green line: model including overshooting (f = 0.07 – M5).

Current usage metrics show cumulative count of Article Views (full-text article views including HTML views, PDF and ePub downloads, according to the available data) and Abstracts Views on Vision4Press platform.

Data correspond to usage on the plateform after 2015. The current usage metrics is available 48-96 hours after online publication and is updated daily on week days.

Initial download of the metrics may take a while.