Free Access

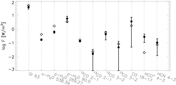
Fig. 12

thumbnail

Comparison between selected observed line fluxes and the standard model with two zones (inside 4 AU a gas-to-dust mass ratio of 0.01 and outside 1.0). HCO+ fluxes are from the model with a 1000 times lower metallicity. Observed fluxes are denoted by filled circles with 3σ error bars and model fluxes by diamonds.

Current usage metrics show cumulative count of Article Views (full-text article views including HTML views, PDF and ePub downloads, according to the available data) and Abstracts Views on Vision4Press platform.

Data correspond to usage on the plateform after 2015. The current usage metrics is available 48-96 hours after online publication and is updated daily on week days.

Initial download of the metrics may take a while.