Free Access

Fig. 3

thumbnail

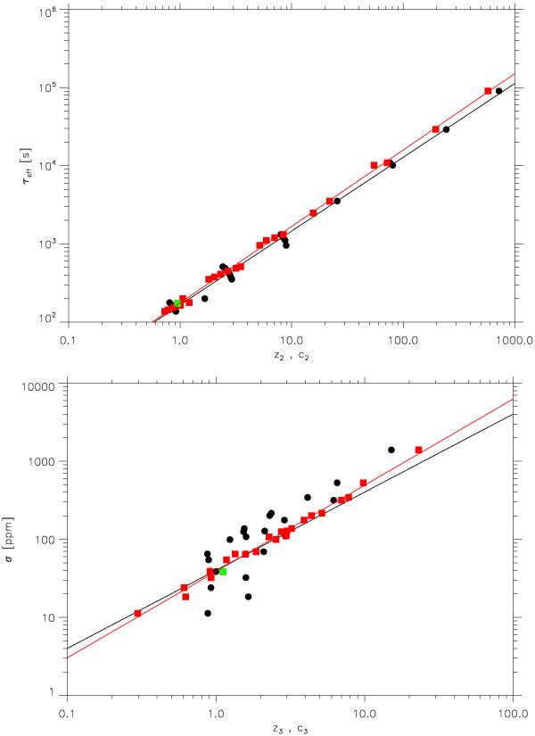
Top: theoretical values of τeff as a function of the quantity z2 (red squares) given by Eq. (18) and as a function of the classical scaling c2 ≡ (νref/νmax) (filled black circles). The symbols correspond to the individual theoretical values obtained with our grid of 3D models. The red curve corresponds to a power law of the form where the slope p = 0.98 is obtained by fitting the red squares, while the black line is a power law of the form where the slope n = 0.94 is obtained by fitting the black circles. Bottom: theoretical values σ as a function the quantity z3 given by Eq. (19) and as a function of the classical scaling c3 (Eq. (20)). The symbols correspond to the individual theoretical values obtained with our grid of 3D models. The red curve is a power law of the form where the slope p = 1.10 is obtained by fitting the red squares, while the black line is a linear scaling in c3.

This figure is made of several images, please see below:

Current usage metrics show cumulative count of Article Views (full-text article views including HTML views, PDF and ePub downloads, according to the available data) and Abstracts Views on Vision4Press platform.

Data correspond to usage on the plateform after 2015. The current usage metrics is available 48-96 hours after online publication and is updated daily on week days.

Initial download of the metrics may take a while.