Free Access

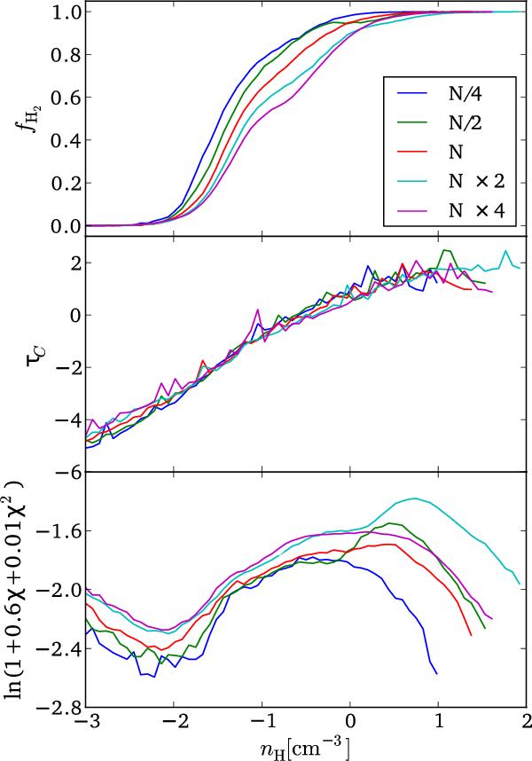
Fig. 13

thumbnail

Different resolutions with αfb = 10% after 0.5 Gyr of evolution. Top: H2 mass fraction as a function of hydrogen-nuclei number density. Middle: dust optical depth as a function of hydrogen-nuclei number density. Bottom: factor involving the UV flux entering the computation of the H2 mass fraction (see Eqs. (78)) as a function of hydrogen-nuclei number density.

Current usage metrics show cumulative count of Article Views (full-text article views including HTML views, PDF and ePub downloads, according to the available data) and Abstracts Views on Vision4Press platform.

Data correspond to usage on the plateform after 2015. The current usage metrics is available 48-96 hours after online publication and is updated daily on week days.

Initial download of the metrics may take a while.