Free Access

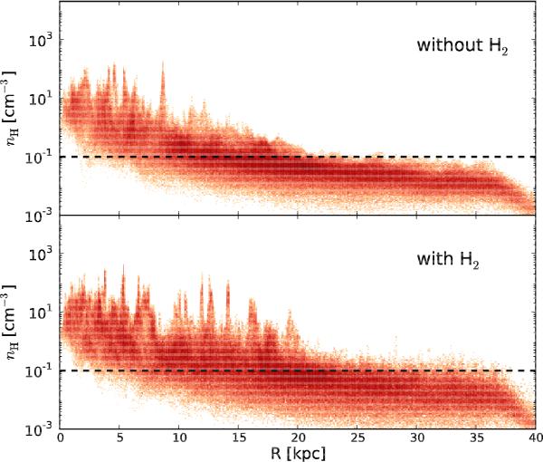
Fig. 19

thumbnail

PDFs of hydrogen number density as a function of galactocentric radius after 0.5 Gyr of evolution with or without including H2 cooling in the simulations for αfb = 1%. The mass weight per pixel of density and radius increases with darkness. Horizontal black line: threshold density for star formation.

Current usage metrics show cumulative count of Article Views (full-text article views including HTML views, PDF and ePub downloads, according to the available data) and Abstracts Views on Vision4Press platform.

Data correspond to usage on the plateform after 2015. The current usage metrics is available 48-96 hours after online publication and is updated daily on week days.

Initial download of the metrics may take a while.