Free Access

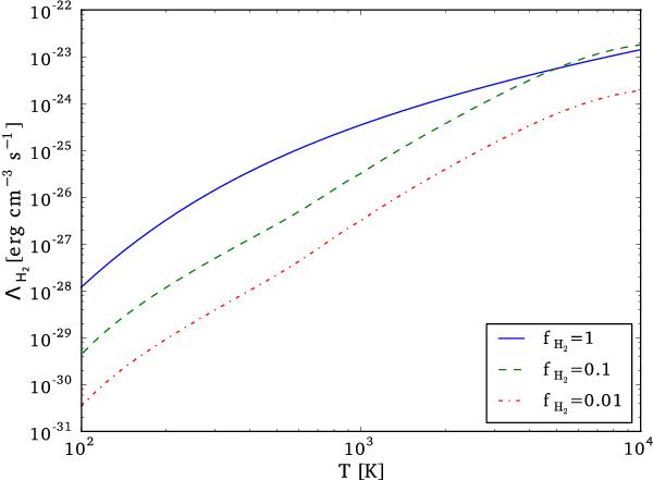
Fig. 2

thumbnail

Volume cooling rate defined in Eq. (1) for a hydrogen-nuclei number density of 1 cm-3 as a function of temperature for different H2 to total hydrogen mass ratios fH2. For high fractions of H2 and at such densities, the cooling can become slightly more important just below 104 K when the H2 mass fraction is reduced, because the contribution of collisions with atomic hydrogen dominates in this range of temperature.

Current usage metrics show cumulative count of Article Views (full-text article views including HTML views, PDF and ePub downloads, according to the available data) and Abstracts Views on Vision4Press platform.

Data correspond to usage on the plateform after 2015. The current usage metrics is available 48-96 hours after online publication and is updated daily on week days.

Initial download of the metrics may take a while.