Free Access

Fig. 6

thumbnail

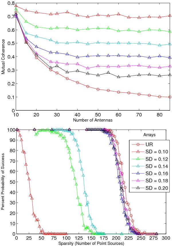
Mutual coherence of measurement matrices as the number of antennas in the array increases (top) and rate of successful OMP reconstructions of random point sources (bottom) as the standard deviation (SD) of the normal random array is increased. The MC plotted is the mean of 50 independent instances of each array. The reconstruction rate plotted is the mean of 5 independent instances of each array, on 200 independent trials for each level of sparsity. A reconstruction is deemed successful if the relative error RE ≤ 0.01.

This figure is made of several images, please see below:

Current usage metrics show cumulative count of Article Views (full-text article views including HTML views, PDF and ePub downloads, according to the available data) and Abstracts Views on Vision4Press platform.

Data correspond to usage on the plateform after 2015. The current usage metrics is available 48-96 hours after online publication and is updated daily on week days.

Initial download of the metrics may take a while.