Free Access

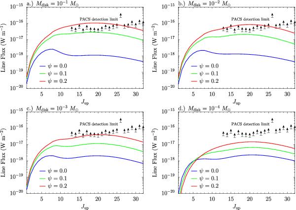
Fig. 5

thumbnail

Model CO ladder for the models with different gas mass Mdisc and flaring parameter ψ. The lines with Jup ≤ 7 are convolved to the APEX beam at the appropriate frequency; the higher Jup are convolved to PACS. Black arrows indicate the typical PACS detection limit, extracted from the AB Aur spectrum.

Current usage metrics show cumulative count of Article Views (full-text article views including HTML views, PDF and ePub downloads, according to the available data) and Abstracts Views on Vision4Press platform.

Data correspond to usage on the plateform after 2015. The current usage metrics is available 48-96 hours after online publication and is updated daily on week days.

Initial download of the metrics may take a while.