Free Access

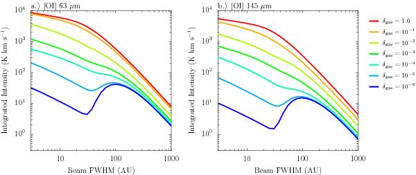
Fig. 18

thumbnail

Beam convolved integrated intensities of [O i] 3P13P2 at 63 μm and 3P03P1 at 145 μm and for different beam sizes. The disk is face on and has a dusty inner disk present.

Current usage metrics show cumulative count of Article Views (full-text article views including HTML views, PDF and ePub downloads, according to the available data) and Abstracts Views on Vision4Press platform.

Data correspond to usage on the plateform after 2015. The current usage metrics is available 48-96 hours after online publication and is updated daily on week days.

Initial download of the metrics may take a while.