Free Access

Fig. 3

thumbnail

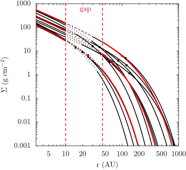
Surface density profiles of the observed transition disks (black lines; Andrews et al. 2011) compared to the model surface density profiles used in this work (red lines). Dotted lines indicate regions within the gap. The red and black dots show (Rcc/e).

Current usage metrics show cumulative count of Article Views (full-text article views including HTML views, PDF and ePub downloads, according to the available data) and Abstracts Views on Vision4Press platform.

Data correspond to usage on the plateform after 2015. The current usage metrics is available 48-96 hours after online publication and is updated daily on week days.

Initial download of the metrics may take a while.