Free Access

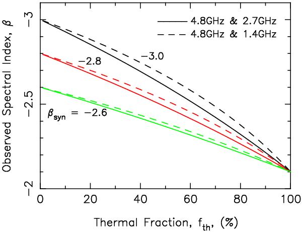
Fig. 1

thumbnail

Thermal fraction at λ6 cm versus the spectral index β of observed Galactic emission. The spectral index of thermal free-free emission is fixed to be −2.1, while the spectral index of non-thermal synchrotron emission is assumed to be −3.0 (black lines), −2.8 (red lines), and −2.6 (green lines). The curves calculated between λ6 cm and λ11 cm are shown by a solid line and λ6 cm and λ21 cm by a dashed line.

Current usage metrics show cumulative count of Article Views (full-text article views including HTML views, PDF and ePub downloads, according to the available data) and Abstracts Views on Vision4Press platform.

Data correspond to usage on the plateform after 2015. The current usage metrics is available 48-96 hours after online publication and is updated daily on week days.

Initial download of the metrics may take a while.