Free Access

Fig. 13

thumbnail

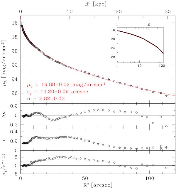
Radial profiles of the BGG NGC 6482. Top panel: SB profile, including a plot of logarithmic radial scale in the inset. In both cases the red line represents the single Sérsic fit, the fitting results are provided too. The second panel displays the deviation of the data from the Sérsic fit. The third panel shows the ellipticity with respect to radial distance and the bottom panel illustrates the a4/a parameter that describes the deviation of the isophote from a perfect ellipse.

Current usage metrics show cumulative count of Article Views (full-text article views including HTML views, PDF and ePub downloads, according to the available data) and Abstracts Views on Vision4Press platform.

Data correspond to usage on the plateform after 2015. The current usage metrics is available 48-96 hours after online publication and is updated daily on week days.

Initial download of the metrics may take a while.