Free Access

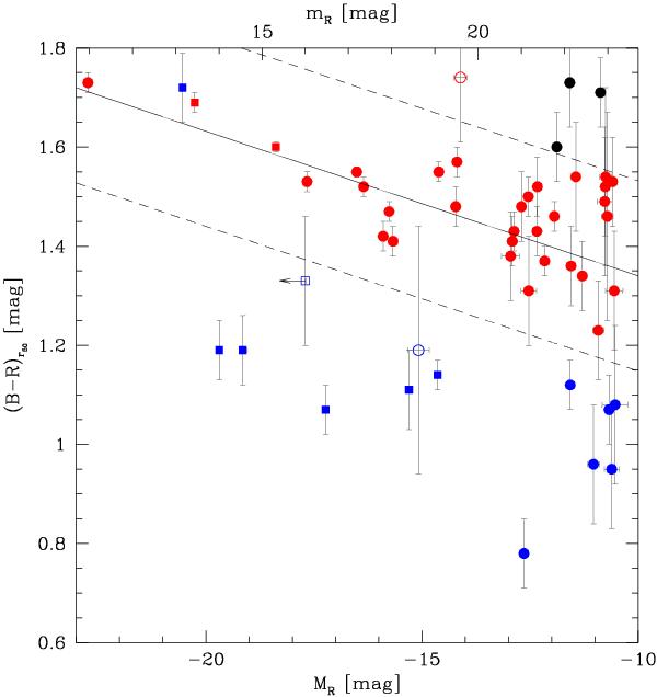
Fig. 7

thumbnail

Color–magnitude diagram of all objects brighter than MR = −10.5  mag (our 50% completeness limit) and bluer than B − R = 1.75  mag. B − R colors represent the integrated value within the half-light radius determined in R-band, except for the BGG – where the color is determined at r50 –, and the disrupted galaxy (see Sect. 4.5). Red data points denote red sequence galaxies that we consider to be group members (circles: elliptical galaxies, squares: S0 galaxies), blue data points for blue cloud galaxies (circles: blue dSphs, squares: spirals and irregulars), respectively. Black data points are galaxies considered to be background galaxies. The open blue square denotes the disrupted galaxy of Sect. 4.5. Open circles (one blue, one red) represent galaxies with uncertain photometry because the galaxy is superposed on a brighter object (BGG or refraction halo of a star) that could not be fully modeled. Because of their morphology, those galaxies are included in the sample. The solid black line is a best fit for our red sequence CMR for galaxies brighter than MR = −14  mag (see text). The dashed lines illustrate the 3σ level of confidence, which is used to reject background galaxies from the sample on the red side.

Current usage metrics show cumulative count of Article Views (full-text article views including HTML views, PDF and ePub downloads, according to the available data) and Abstracts Views on Vision4Press platform.

Data correspond to usage on the plateform after 2015. The current usage metrics is available 48-96 hours after online publication and is updated daily on week days.

Initial download of the metrics may take a while.