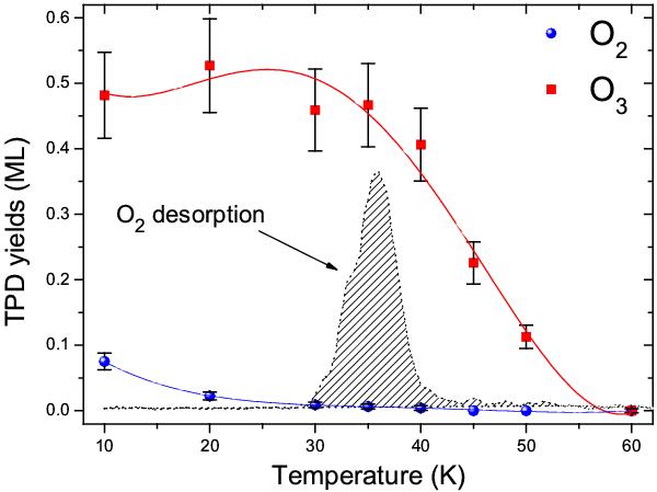
Fig. 6
 
      O2 and O3 yields as a function of surface temperature during deposition of 0.5 ML of 13CO + O. The circles and the squares represent the integrated area under the TPD curves of O2 and O3, respectively, after deposition of 0.5 ML of 13CO + O on ASW ice held a different temperatures (10 K, 20 K, 30 K, 35 K, 40 K, 45 K, 50 K, 60 K). The solid line is a fit of the area behaviour. The added O2 TPD (obtained at Tsurface = 20 K) helps interpret the O3 yield behaviour with temperature.
Current usage metrics show cumulative count of Article Views (full-text article views including HTML views, PDF and ePub downloads, according to the available data) and Abstracts Views on Vision4Press platform.
Data correspond to usage on the plateform after 2015. The current usage metrics is available 48-96 hours after online publication and is updated daily on week days.
Initial download of the metrics may take a while.
