Free Access
    
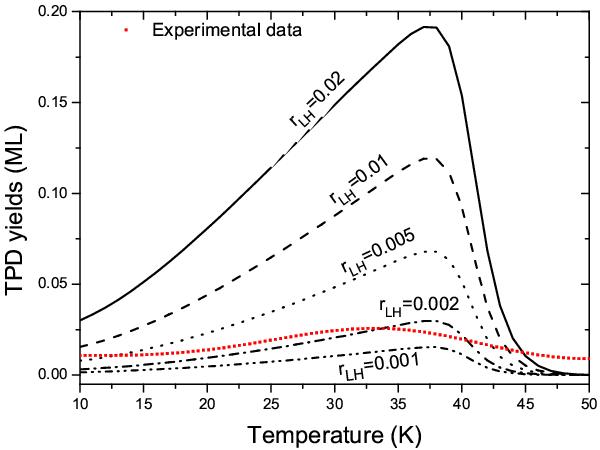
Fig. 8
 
      Model results for CO2 production on ASW (pure LH). The curves in this figure were obtained by using rER = 0, and different rLH values (ranging from 0.001 to 0.02). The squares are a best fit of the experimental values.
Current usage metrics show cumulative count of Article Views (full-text article views including HTML views, PDF and ePub downloads, according to the available data) and Abstracts Views on Vision4Press platform.
Data correspond to usage on the plateform after 2015. The current usage metrics is available 48-96 hours after online publication and is updated daily on week days.
Initial download of the metrics may take a while.
