Free Access

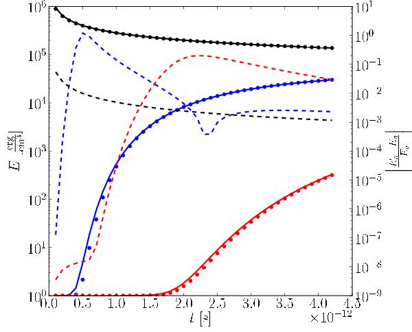
Fig. 2

thumbnail

Time evolution for the linear diffusion test from time to at three different positions: at (black lines), at (blue lines) and at (red lines). The dotted lines for each position belong to the simulated solution, the solid lines to the analytical solution, and the dashed lines show the relative error that belongs to the axis on the right.

Current usage metrics show cumulative count of Article Views (full-text article views including HTML views, PDF and ePub downloads, according to the available data) and Abstracts Views on Vision4Press platform.

Data correspond to usage on the plateform after 2015. The current usage metrics is available 48-96 hours after online publication and is updated daily on week days.

Initial download of the metrics may take a while.