Free Access

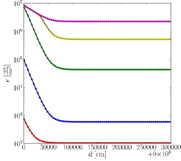
Fig. 5

thumbnail

Radial dependency of the gas energy density for the coupling test with enabled irradiation. The gas energy density is plotted at different times, (red dots), (blue dots), (green dots), (yellow dots), and (magenta dots). The dots represent the numerical solution and the solid black lines the reference solution. Position d is again measured relatively to the inner boundary of the quasi one-dimensional domain.

Current usage metrics show cumulative count of Article Views (full-text article views including HTML views, PDF and ePub downloads, according to the available data) and Abstracts Views on Vision4Press platform.

Data correspond to usage on the plateform after 2015. The current usage metrics is available 48-96 hours after online publication and is updated daily on week days.

Initial download of the metrics may take a while.