Free Access

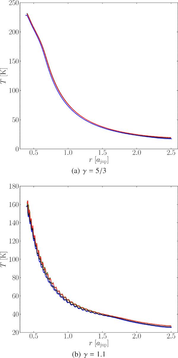
Fig. 9

thumbnail

Radial mid-plane temperature profile in the simulation with PLUTO (red line), RH2D (black line) and NIRVANA (blue line) in the quasi-equilibrium state after a) for γ = 5/3 without convection and b) in the strongly convective case with γ = 1.1 . We added the results of a simulation performed with PLUTO where we used a logarithmic grid in r-direction (green line).

This figure is made of several images, please see below:

Current usage metrics show cumulative count of Article Views (full-text article views including HTML views, PDF and ePub downloads, according to the available data) and Abstracts Views on Vision4Press platform.

Data correspond to usage on the plateform after 2015. The current usage metrics is available 48-96 hours after online publication and is updated daily on week days.

Initial download of the metrics may take a while.