Free Access

Fig. 12

thumbnail

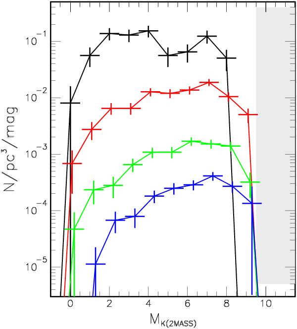
Corrected luminosity function (density of candidates with |v| < 2 km s-1) of the Hyades in the 2MASS Ks band, for regions of various cluster radii: 0 to 3.1 pc; 3.1 to 9 pc; 9 to 18 pc; and 18 to 30 pc (top to bottom). The light grey area for MK > 9.5 mag indicates the magnitudes for which our results are strongly affected by incompleteness.

Current usage metrics show cumulative count of Article Views (full-text article views including HTML views, PDF and ePub downloads, according to the available data) and Abstracts Views on Vision4Press platform.

Data correspond to usage on the plateform after 2015. The current usage metrics is available 48-96 hours after online publication and is updated daily on week days.

Initial download of the metrics may take a while.