Free Access

Fig. 1

thumbnail

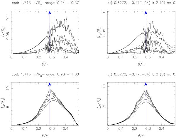
Modulus of the horizontal components ξθ (left panels) and ξϕ(right panels) of the displacement vector versus θ/π at some radial meshpoints in the intermediate region outside the convective core (upper panels) and near the stellar surface, including the convective shell, (lower two panels) for a (200) g-mode with frequency 1.713 cpd in the inertial frame. The arrow indicates the critical (co)latitude θc.

Current usage metrics show cumulative count of Article Views (full-text article views including HTML views, PDF and ePub downloads, according to the available data) and Abstracts Views on Vision4Press platform.

Data correspond to usage on the plateform after 2015. The current usage metrics is available 48-96 hours after online publication and is updated daily on week days.

Initial download of the metrics may take a while.