Free Access

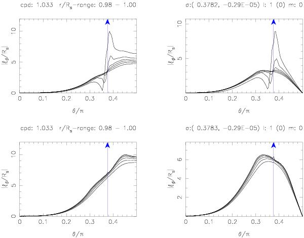
Fig. 3

thumbnail

Modulus of the horizontal components (ξθ and ξϕ) of the displacement vector versus θ/π at some radial meshpoints in the stellar surface region, including the convective shell, for the (100) g-mode with corresponding to 1.033 cpd in the inertial frame. The upper two panels depict the forced solution (with a jump), the lower panels the corresponding free solution with a short wavelength disturbance near θc and a tiny spike. The arrow indicates the critical (co)latitude θc.

Current usage metrics show cumulative count of Article Views (full-text article views including HTML views, PDF and ePub downloads, according to the available data) and Abstracts Views on Vision4Press platform.

Data correspond to usage on the plateform after 2015. The current usage metrics is available 48-96 hours after online publication and is updated daily on week days.

Initial download of the metrics may take a while.